阜阳房价惊现“5”字头!住宅备案价最高单价仅6538元/㎡!-阜阳房价
9月20日,阜阳市发展和改革委员会(阜阳市物价局)
公布了阜合新城的阜阳绿地·紫峰公馆和
经开区的天盛凤凰城住宅备案房价
共备案757套住宅房源
其中绿地紫峰公馆最高备案单价仅6538元/㎡
而天盛凤凰城最低备案单价5015元/㎡
阜阳房价播报:绿地·紫峰公馆共234套住宅房源
住宅备案均价6126.5元/㎡
【阜阳绿地·紫峰公馆】,位于阜阳市颍州区阜颍路与港口路交口,由阜阳绿地置业有限公司开发建设项目。

(项目效果图)

(项目位置图)
此次明码标价备案为5#、16#、17#共234套住宅房源,住宅备案均价约6126.5元/㎡。数据来源于阜阳市发展和改革委员会(阜阳物价局)。
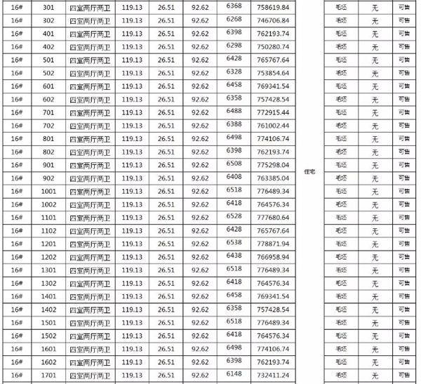
由下图可知,阜阳绿地·紫峰公馆此次备案房价最低单价5478元/㎡,最高备案单价仅6538元/㎡。

向下滑动查看具体房价↓





阜阳房价播报:天盛凤凰城住宅备案均价5900元/㎡
【天盛凤凰城】,位于阜阳市阜颍路与经二路交口,由阜阳市天盛房地产开发有限责任公司开发建设的项目,

此次明码标价备案为3#、4#、5#、8#共523套住宅房源,住宅备案均价约5900元/㎡。数据来源于阜阳市发展和改革委员会(阜阳物价局)。
由下图可知,此次住宅备案单价最低5015元/㎡。

向下滑动查看具体房价↓

想买房
不知道价格怎么样?
不知道位置好不好?
不知道质量怎么样?
没时间一一去售楼部?
来这里小编专业为你解答





